药物的代谢研究贯穿药物开发的整个过程。通过代谢产物结构鉴定,我们可以深入了解药物或化合物的代谢途径。这对于先导化合物的设计和优化、候选药物的筛选、临床研究的实验设计、药物间相互作用的预测及代谢产物安全性评估都具有重要意义。代谢产物鉴定研究有助于了解化合物的生物转化途径,明确是否会产生活性或反应性代谢产物,获得是否在人体中产生高比例或独特代谢产物的信息,以便更全面地了解化合物的体内存在形式和清除机制。
高分辨质谱仪是药物代谢产物分析和鉴定的重要检测工具。随着质谱仪器的不断发展,检测灵敏度和分辨率得到大大提高,为低浓度和复杂样品中代谢产物的元素变化和结构位点确定起到巨大的推动作用。同时,代谢产物鉴定辅助软件(如Mass-MetaSite,Compound Discoverer,MDF等)的迭代更新在帮助生物转化科学家们进行代谢产物鉴定研究中也起到了不可忽视的作用。即使检测仪器和辅助工具在不断进步,代谢产物鉴定分析与鉴定过程中依然存在诸多困难,例如:分子量小、极性大的化合物在反相色谱中往往难保留,在检测过程中易受离子抑制、基质干扰的影响;含嘌呤、嘧啶、核苷酸、氨基酸等结构化合物的代谢产物易受到基质中内源性物质的干扰,色谱分离困难;甾体、萜类、脂质体等这类不含氮等杂原子或含杂原子少的化合物一般UV无响应及MS响应较差,不容易被检测,从而无法鉴定;含量较高、有潜在活性或者毒性的代谢产物仅通过质谱数据无法获得较为精准结构,等等诸多挑战。通常,以上挑战除了可以通过优化色谱条件来解决部分问题之外,还可以采用同位素示踪、合成可能的代谢产物标准品进行比对、生物合成后NMR鉴定、H/D交换、化学衍生化等方法,帮助解决代谢产物鉴定研究中遇到的挑战。上述各方法,相对于其它方法,都有其优势和局限性,可根据实际应用场景综合判断后,采用合适的方法帮助完成代谢产物的鉴定(表1)。
表1. 辅助LC-HRMS进行代谢产物鉴定研究的部分方法及其优势和局限性
方法 | 优势 | 局限性 |
同位素示踪 | 准确、直观、全面 | 需要合成标同位素记化合物,并在特定的场所开展试验 |
合成标准品比对 | 简单、准确(易得的情况下首选) | 标准品难以获得、价格昂贵、耗时长 |
生物合成后NMR鉴定 | 精准定向合成,产物标品纯度高、可长期保存,可进行多次不同类型的NMR分析 | 代谢物一般以低浓度存在于复杂的基质中,必须要分离纯化、富集到一定量,耗时长 |
H/D交换 | 针对活泼氢,方便操作 | 需要氘代试剂,应用范围窄,仅能解决结构中含活泼氢等问题 |
化学衍生化 | 应用范围广,可选反应多,操作相对方便,结果可靠 | 对样品中目标化合物具有破坏性,对于复杂基质或者广泛代谢的产物不适用,甚至可能需要分离富集后开展 |
其中,化学衍生化的方法在代谢产物鉴定方面,以及定量分析方面,都有其独特优势,本文主要总结分享了部分化学衍生化方法的反应原理、常见反应类型和相关案例。
化学衍生化的原理和作用
化学衍生化是通过特定设计的化学衍生化试剂与样本中含有特定活性官能团的目标化合物发生衍生化反应,对目标化合物的某个官能团进行结构修饰,在保证其基本骨架结构不发生变化的情况下,改变其理化性质,从而达到改变目标化合物色谱、质谱行为的目的(图1)。即利用化学反应将难于分析的物质转化为与其结构相似但易于分析的物质,便于分离、检测和鉴定[1]。

图1. 化学衍生化方法的原理[1]
化学衍生化反应有很多作用[2,3],主要包括:
改变挥发性和/或热稳定性,使化合物更适合LC-MS分析;
优化色谱行为:1)改善色谱保留;2)改善峰形,减少或消除峰拖尾或前沿;3)改善分离度;
提高可检测性:1)生成更丰富的离子;2)降低离子干扰;3)提高灵敏度和重现性。
化学衍生化试剂的选择
化学衍生化试剂的选择取决于目标化合物的性质及研究目的,一般需要具备以下特点:
衍生化试剂与化合物发生稳定的衍生化反应,不受复杂基质影响;
衍生化试剂能够在温和条件下与目标化合物快速反应,非目标衍生副产物生成量较少,或者生成的衍生副产物对仪器的检测不会产生影响;
衍生化试剂不能干扰被分析物的检验,并且易于除去;
衍生化试剂要易于获得或者合成;
衍生化试剂对仪器损害小且低毒或无毒。
化学衍生化反应类型
在使用衍生化技术辅助生物基质中目标化合物定性或定量分析时,根据引入基团的不同,大多数化学衍生反应可以归为三种类型:硅烷化、酰基化和烷基化[2,3]。各反应机理和适用范围简要介绍如下:
硅烷化反应
硅烷化作用是指将硅烷基引入到目标化合物中,一般是目标化合物的活泼氢被烷基-硅基取代,尤其是含-OH的化合物反应,生成硅烷基化合物,从而降低原化合物的极性,增强挥发性和稳定性,增加其在色谱中的保留(图2)。比较常见的含有活泼氢的官能团有醇羟基、酚羟基、羧酸、氨基、巯基及酰胺(硅烷化反应难易程度由易到难)。
反应条件:
不挥发或者200-300℃稳定性的化合物;
溶剂一般为己烷、苯、吡啶、四氢呋喃、DMSO、乙腈等;
硅烷化试剂容易吸潮失效,因此在使用过程中需要对样品和试剂脱水,即反应体系中不能含有水分;
硅烷化试剂有BSTFA(N,O-双(三甲基硅烷基)三氟乙酰胺)、TMCS(三甲基氯硅烷)、MSTFA(N-甲基-N-(三甲基硅烷基)三氟乙酰胺)、HMDS(六甲基二硅氮烷)等。

图2. 硅烷化衍生化反应
酰基化反应
酰基化反应原理是目标化合物的醇类或胺类与酸酐发生酰化反应,反应生成酯(更稳定、灵敏度更高的衍生化反应物)用于检测(图3)。即酰基化反应可以降低羟基、氨基等的极性,减小色谱峰拖尾的现象,增强原化合物的挥发性;能够增强某些容易氧化的化合物(如儿茶酚胺)的稳定性;引入含有卤离子的酰基,可以提高电子捕获检测器(ECD)的灵敏度。常见的醇类或胺类官能团有醇羟基、酚羟基及氨基,常见的酰基化衍生化反应有酰基酸酐衍生化和酰基咪唑衍生化。

图3. 酰基化化学衍生化
烷基化反应
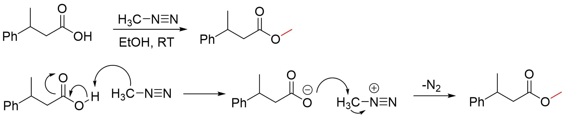
烷基化反应原理是目标化合物的活泼氢被烷基取代,从而降低了原化合物的极性,增加其在反相色谱中的保留。常见的含有活泼氢的官能团有醇羟基、氨基、巯基、酰胺、羧酸及酚羟基。以甲基化为例,常见的反应有(图4):
烷基碘化物反应:如在含碳酸钾的干燥丙酮中用碘甲烷回流,进行甲基化;
使用TMPAH(针对巴比妥类)进行甲基化;
重氮甲烷作为试剂的甲基化反应。

图4. 烷基化化学衍生化
化学衍生化案例分析
案例一:辅助葡萄糖醛酸结合位点识别
如下市售化合物爱维莫潘(P),在体外孵育样品中(肝微粒体+UDPGA)检测到原药葡萄糖醛酸结合产物,该结构含有酚羟基、羧基以及氮等多个可能结合葡萄糖醛酸的位点。仅通过MS数据,在没有关键碎片信息的情况下,无法判断具体的结合位点。在这类案例中,化学衍生化方法体现了其独特的优势,通过乙酰化反应可以区分羧基和非羧基位的葡萄糖醛酸结合物(图5),通过三甲基硅烷化反应可以区分酚羟基和非酚羟基位的葡萄糖醛酸结合物(图6)[4]。
根据三甲基硅烷化衍生化反应(TMS(三甲基硅基)结合在酚羟基上或葡萄糖醛酸的羟基上)中化合物分子量增加3个72或4个72,可以判断葡萄糖醛酸结合在酚羟基(3×72)或者羧酸和氮位(4×72)上。根据乙酰化衍生化反应(乙基结合在羧酸上)中化合物分子量增加1个28或2个28,判断葡萄糖醛酸结合在羧酸(1×28)或者酚羟基和氮位(2×28)上;通过以上两类衍生化反应,可以判断爱维莫潘的葡萄糖醛酸是结合在酚羟基或羧基或氮上 。

图5. 通过乙酰化反应判断葡萄糖醛酸结合位点(判断是否在羧基位)[4]

图6. 通过三甲基硅烷化反应判断葡萄糖醛酸结合位点(判断是否在酚羟基位)[4]
案例二:辅助内源性代谢产物的鉴定
在核苷酸类似物小分子的核苷酸母核上标记14C核素,以进行大鼠体内的代谢途径研究。大鼠口服给药后收集其血浆、尿液、粪便等样品,将尿液样品离心处理后通过液相和在线放射性仪器(LC-RAM)检测,得到仅含一个代谢产物(M1)的放射性代谢物谱。该代谢产物M1经质谱检测发现,与内源性物质尿囊素(m/z 157.0367)的保留时间一致且MS响应相近,无法确认M1是否为尿囊素(图7)。通过改变HPLC的方法,仍无法分开M1和内源性尿囊素。因此,进一步将尿液样品进行乙酰化衍生化反应,反应后M1转化为4个放射性衍生物D1~D4,通过对其进行放射性代谢物谱和高分辨质谱分析,D1~D4为尿囊素的多乙酰化产物。综合以上信息,可确定放射性代谢产物M1为尿囊素(Allantoin)(图8)[5]。

图7. 尿液样品中代谢产物M1的放射性图谱及与尿囊素的质谱图比对

图8. 尿液样品中M1经乙酰化生成放射性衍生物D1-D4
案例三:提高目标化合物的灵敏度,降低检测限
除了助力代谢产物定性研究之外,在定量方面的贡献更为突出。乙烷硒啉([M+H]+: 425)分子中含硒元素,不含活泼氢,离子化效率差,在质谱中响应低,且受基质干扰十分严重。化合物给药后,血浆样品中乙烷硒啉的LC-MS/MS定量十分困难[6]。针对其结构,可采用二巯基乙醇试剂进行衍生化,在血浆样品中优化衍生化反应条件,乙烷硒啉生成含硒化合物的衍生物([M+H]+: 581)。与乙烷硒啉相比,此衍生物的质谱响应增强了10倍,提升了信噪比,消除了基质干扰,降低定量下限(LLOQ)至50ng/mL,帮助了该化合物在血浆样品中的定量分析。(图9)

图9. 含硒化合物经衍生化反应[6]
结语
针对代谢产物鉴定研究中存在的诸多分析痛点,我们采用高分辨质谱分析,结合化学衍生化反应的优点、文献研究与案例及现有的实验经验,有针对性的解决代谢产物鉴定研究中的特定分析难点,助力获得更可靠的代谢产物鉴定结果,为药物后续研究如代谢产物安全性、代谢产物监测、代谢酶鉴定等提供保障。
除了本文详细介绍的硅烷化、酰基化和烷基化衍生化方法之外,还有许多其他化学衍生化方法,如上述案例三中对于含有特殊元素的化合,可以开发特殊的衍生化方法。我们总结了具有代表性的衍生试剂的反应机制和选择策略,以指导和激励未来的代谢研究。此外,衍生化反应在多肽和蛋白质分析、环境分析、药物分析、食品安全评估和MS成像等方面也有很多应用。
药明康德药物代谢与动力学部(DMPK)在代谢产物鉴定方面拥有多年的研究经验,每年数千个代谢产物鉴定研究经验,近十年已赋能客户顺利完成上千次项目申报。为全球客户提供从早期筛选、临床前开发、到临床阶段的综合型药代动力学服务,助力客户快速推进药物研发流程。
作者:周小菊,李欢,郭莲,张玲玲,曹卫群
编辑:钱卉娟,富罗娜·克里木
设计:倪德伟,张莹莹
药明康德DMPK依托中国(上海、苏州、南京和南通)和美国(新泽西)的研发中心,提供从早期筛选、临床前开发、到临床研究阶段的综合型药代动力学服务,助力您快速推进药物研发流程。拥有上千人的研发团队,服务超1600家全球客户,具有超过十五年的新药申报经验,已成功支持超过1700个新药临床研究申请(IND)。
点击此处与我们的专家进行联系
参考
[1] 曹宇奇, 陆颖洁, 郭寅龙. 生物样品中醇类代谢物的化学衍生化质谱分析方法研究进展[J]. 质谱学报, 2021, 42(05): 727-743.
[2] Michael J. Telepchak, Thomas F. August, Glynn Chaney, Forensic and Clinical Applications of Solid Phase Extraction, Chapter 12, Chemical Derivatization, 297~309.
[3] Bao-Ling Qi, Ping Liu, Qiu-Yi Wang, Wen-Jing Cai, Bi-Feng Yuan, Yu-Qi Feng, Derivatization for liquid chromatography-mass spectrometry, Trends in Analytical Chemistry (2014), http://dx.doi.org/doi:10.1016/j.trac.2014.03.013.
[4] Yukuang Guo, Abhi Shah, Eugene Oh, Swapan K Chowdhury, Xiaochun Zhu, Determination of Acyl-, O-, and N- Glucuronide Using Chemical Derivatization Coupled with Liquid Chromatography-High-Resolution Mass Spectrometry, Drug Metab Dispos, 2022 May;50(5):716-724
[5] Xiaoju Zhou, Lian Guo, Yumeng Shen, Peng Li, Lingling Zhang, Weiqun Cao, Nan Zhao, Yi Tao, Liang Shen, Danyang Liu, Cong Xu, Metabolite identification of nucleoside analog prodrugs in biological matrix by derivatization coupled with radio-detector and mass spectrometry, AAPS, 2023.
[6] Hai-Yan Zhou, Gui-Fang Dou, Zhi-Yun Meng, Ya-Qing Lou, Guo-Liang Zhang, High performance liquid chromatographic determination of 1,2-[bis(1,2-benzisoselenazolone-3(2H)-ketone)]-ethane (BBSKE), a novel organoselenium compound, in dog plasma using pre-column derivatization and its application in pharmacokinetic study, Journal of Chromatography B, Volume 852, Issues 1–2, 2007, Pages 617-624
加入订阅
获取药物代谢与药代动力学最新专业内容和信息